2024 წ. ს სოფლის მეურნეობის სამეცნიერო კვლევითი ცენტრის სოფ. წილკნის ბაზის სადემონსტრაციო ნაკვეთზე, პერუს კარტოფილის საერთაშორისო ცენტრიდან (CIP) გამოგზავნილი, კარტოფილის თესლიდან მიღებული ტუბერები დაითესა.
მიზანს წარმოადგენდა არსებული მასალის გამრავლება და წინასწარი შეფასება, ხოლო გარკვეული პროცედურების განხორციელების შემდგომ კი გამორჩეული, საუკეთესო ფორმების დასარეგისტრირებლად მომზადება.
კარტოფილის თესლიდან ტუბერების მისაღებად საჭირო გახდა გარკვეული ტექნოლოგიების გამოყენება, მათ შორის ჩითილების გამოყვანა და სათბურში გადარგვა რასაც დასჭირდა ერთი წელი, ხოლო შემდგომ კი მიღებული ტუბერების ღია გრუნტში გადატანა და გამოცდა საუკეთესო მონაცემების მქონე კლონების გამოსავლენად.
ღია გრუნტში თესვის ვადა განისაზღვრა 2024 წ. ის აპრილის დასაწყისი, დათესილი ნიმუშების რაოდენობა შეადგენდა 43 ფორმას, დათესილი ფართობი1000კვ.მ.
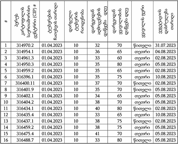
ცხრილი #1, 43 ნიმუშიდან გამორჩეული 16 ფორმის ფენოფაზების არწერა
თითოელი ფორმიდან დასარგავად მომზადდა 10-10 ტუბერი, რომლეთა აღმოცენებამ მიაღწია 100 % ს და დარგული ტუბერებიდან თითოეულ ნომერში აღმოცენებული იქნა 10-10 მცენარე.
როგორც ცხრილ #1 დან ჩანს, შედარბით ყველაზე საადრეო აღმოჩნდა კლონი #314970.2, რომელმაც ვეგეტაციის დასრულებას მიაღწია ივლისის დასასრულს, ხოლო შედარებით საგვიანო ნომრები კი აღმოჩნდნენ #316396.1 და #316435.4 კლონები.
ცხრილი #2, CIP კლონების ბიომეტრიული და სამეურნეო მონაცემები.

როგორც ცხრილ #2 დან ჩანს ტუბერების მაქსიმალური რაოდენებით 15-16ც ერთ მცენარეზე, გამორჩეულია #314959.2, ხოლო ერთ მცენარეზე ტუბერების წონით კი შედარებით მაღალი მაჩვენებლით გამოირჩევა იგივე კლონი #314959.2 და კლონი #316475.4 შესაბამისად 29.5 კგ.
გარდა ფენოლოგიური და ბიომეტრიული მონაცემებისა უნდა აღინიშნოს, რომ ცხრილში მოცემული არსებული ნომრები ხასიათდებიან დაავადებებისადმი მედეგობითა და გვალვაგამძლეობით.
რაც შეეხება, კარტოფილის ადგილობრივი ჯიშების პოპულარიზაციისა და გავრცელების მიზანს, სამი ადგილობრივი ჯიშის კარტოფილი: „მესხური“, „მესხური წითელი“ და „ჯავახეთური“ დაირგო სხვადასხვა მაღალმთიან რეგიონში: თუშეთში, ყაზბეგში და ფშავში, სადაც დაფიქსირდა მაღალი მოსავალი.
ადგილობრივ ფერმერებთან განხორციელდა აღნიშნული ჯიშების გაცნობა და ჩატარდა ტრენინგები აგროტექნიკური ღონისძიებების მართებულად განხორციელებასა და მნიშვნელობაზე, რომ მიღწეული იქნას მაღალი და ხარისხიანი მოსავლის მიღება.
კარტოფილის პირველადი მეთესლეობის წარმოების მიზნით, 2024 წლის ნოემბერში ახალქალაქის ბაზაზე გადაირჩა ადგილობრივი და შემოტანილი ჯიშების/ფორმების ელიტური სათესლე მასალა.
გადარჩევის შედეგად მიღებული იქნა 23 ორი სუპერ ელიტური (SSE), ოთხი სუპერ ელიტური (SE) და ერთი ელიტური (E) სათესლე მასალა.
ს/მ დოქტორი გიორგი ბადრიშვილი
მთავარი სპეციალისტი დალი წიკლაური
აგრონომი ილია მჭედლიძე
კარტოფილის მოყვანის ტექნოლოგია და რამდენიმე ჯიში

